| নং | শিরোনাম | সেবার ধাপ | কার্যকলাপ |
|---|---|---|---|
| | |||
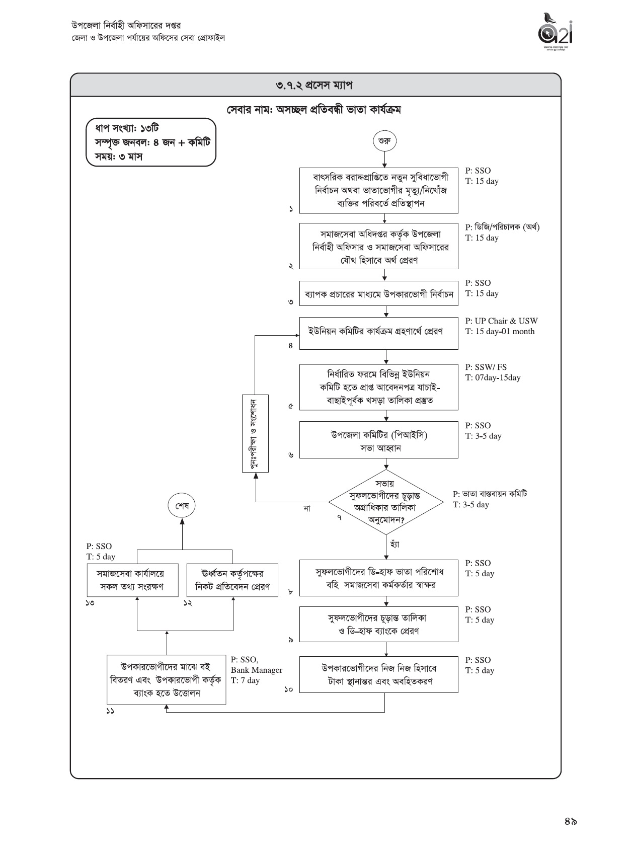
| ১ | অসচ্ছল প্রতিবন্ধীদের ভাতা | দেখুন | |
| ২ | ভূমিহীদের মাঝে কৃষিজমি বন্দোবস্ত | দেখুন | |
| ৩ | অকৃষি খাসজমি বন্দোবস্ত | দেখুন | |
| ৪ | প্রথমিক শিক্ষার জন্য উপবৃত্তি প্রদান | দেখুন | |
| ৫ | হাট-বাজার ইজারা প্রদান | দেখুন | |
| ৬ | তথ্য অধিকার আইন বাস্তবায়ন | দেখুন | |
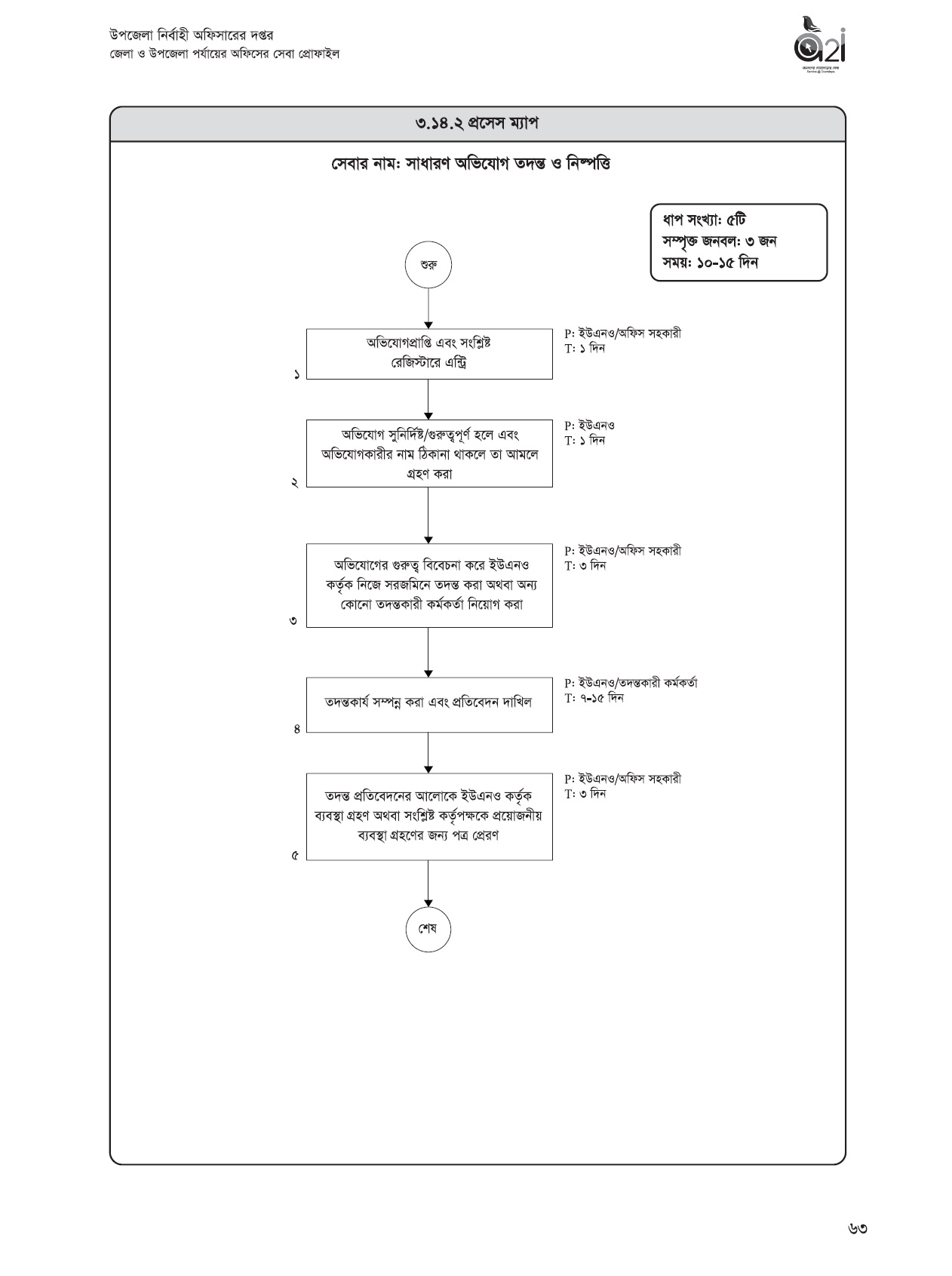
| ৭ | সাধারণ অভিযোগ তদন্ত নিষ্পত্তি | দেখুন | |
| ৮ | থোক বরাদ্দ/বিশেষ অনুদান অর্থ ছাড় | দেখুন | |
| ৯ | জলমহাল ইজারা | দেখুন | |
| ১০ | হাট-বাজারের চান্দিনা ভিটি লিজ প্রদান | দেখুন |